132. Урок 132. Основные понятия гидродинамики. Уравнение непрерывности

132. Урок 132. Основные понятия гидродинамики. Уравнение непрерывности


Видео: 132. Урок 132. Основные понятия гидродинамики. Уравнение непрерывности

RuTube

Odessa2025

Опубликовано: 10.10.2025 | Продолжительность: 00:41:08


,

Категория видео: Обучение


Задание 222
Смотреть
Математики, вперед!
  2025-10-11 в 04:58:51
Законы сохоанения 3 часть
Смотреть
Библиотека "Бабушки Бонифация"
  2025-10-11 в 04:26:12
Starlight-4 часть 2 (71 страница)
Смотреть
Geliossar-Аудиоучебники
  2025-10-11 в 04:58:16
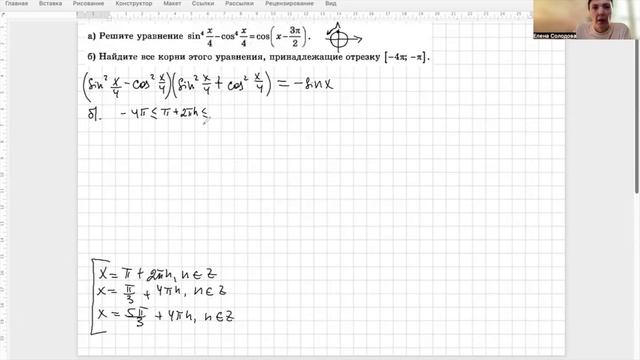
Тригонометрическое уравнение Ященко. ЕГЭ по профилю
Смотреть
ЕГЭ по профилю с Еленой Солодовой
  2025-10-11 в 05:10:35
отчет лаб 06
Смотреть
Channel59451238
  2025-10-11 в 04:13:36
Starlight-4 часть 2 (74 страница)
Смотреть
Geliossar-Аудиоучебники
  2025-10-11 в 04:59:38
защита лаб06
Смотреть
Channel59451238
  2025-10-11 в 04:13:54
Starlight-4 часть 2 (72 страница)
Смотреть
Geliossar-Аудиоучебники
  2025-10-11 в 04:58:37
2.9093 сек.